歌谱大全网-歌谱简谱大全_儿歌简谱_曲谱_五线谱_钢琴谱_吉他谱等乐谱!

歌谱大全网

歌谱大全网是国内知名的曲谱网站。歌谱大全网遵循专业、精准、规范、实用的原则。里面收录简谱、歌词、原创歌词、钢琴谱、吉他谱、提琴谱、戏曲谱、古筝谱、歌谱乐普、电子琴谱、二胡曲谱、萨克斯谱、合唱曲谱、鼓谱等数十万精品曲谱。同时中国曲谱网也是集歌曲、歌词、歌谱为一体的大型音乐网,如果您喜爱音乐可以收藏我们的网站,里面十万精品曲谱可以随意试学。

菜单导航
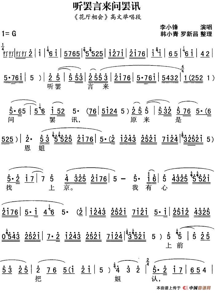
当前位置:首页 > 其他曲谱 >秦腔流行唱段精选:听罢言来问罢讯(《花厅相会》高文举唱段)其他曲谱

秦腔流行唱段精选:听罢言来问罢讯(《花厅相会》高文举唱段)

作者: 歌谱大全网 发布时间: 2026-04-20 10:28:44

歌谱大全网其他曲谱栏目为您提供秦腔流行唱段精选:听罢言来问罢讯(《花厅相会》高文举唱段),秦腔流行唱段精选:听罢言来问罢讯(《花厅相会》高文举唱段)曲谱,秦腔流行唱段精选:听罢言来问罢讯(《花厅相会》高文举唱段)其他曲谱下载

秦腔流行唱段精选:听罢言来问罢讯(《花厅相会》高文举唱段)(1):秦腔流行唱段精选:听罢言来问罢讯(《花厅相会》高文举唱段)李小峰演唱 韩小青 罗新昌整理-戏曲其他110.jpg